이 논문은 기여도 요인이라는 변수를 이용하여 피크 시간대에 신재생에너지를 사용을 함으로써 에너지 관리 시스템을 제안하고 있습니다.
Microgrid configuration
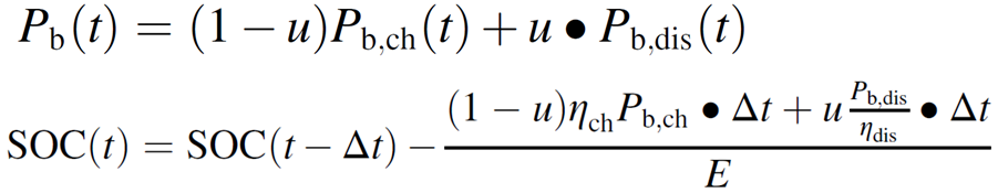
1. Battery power and degradation
- 배터리의 전력 흐름은 충전 또는 방전에 따라서 양방향으로 이루어져 있습니다.
- P {b, ch} 및 P {b,dis}은 충전 및 방전 모드에서의 전력이며 u∈{0,1}은 배터리 모드를 지정하는 상수입니다.
- 매개변수 u는 2진수이며 동시에 충방전을 방지하는 데 사용됩니다. (u =1(방전 모드), u=0(충전 모드))

- E는 배터리 용량(Wh), n {ch} 및 n {dis}는 잉여, 예비전력 대비 발생 가능한 전력을 나타냅니다.- 배터리의 사용 가능한 에너지는 SOC에 의해 지정되며 위의 수식에 따라서 추정됩니다.

- D는 배터리의 DOD, k는 방전계수, D {Fin}는 배터리 마지막 방전 상태, D {INI}는 배터리의 초기 방전 상태를 의미합니다.
2. Load power constraints
- 부하는 두 가지의 구성 요소를 나뉘고, 전력을 언제든지 임의의 시간 슬롯에 할당할 수 있는 시프트 가능 부하와 고정된 시간 슬롯에 전력을 공급하는 시프트 불가능한 부하가 있습니다.
- P {Ln}은 시프트 불가능한 부하이고 P {Lm}은 시프트 가능 부하를 의미합니다.

3. Grid Power and constraints
- 그리드의 전력 흐름은 전송(그리드-그리드)에 따라서 양방향으로 이루어집니다.
- 그리드 전력은 부하 전력을 충족하기 위한 마이크로그리드의 전력을 보완합니다.

- P{gen} = 태양광 및 풍력 발전원에서 생산된 전력, P{L}= 부하 전력, P{g}= 계통 전력, n{inv}= 인버터 효율,
n{pv} = PV 컨버터 효율, n{w} =풍력 컨버터 효율, n{b}= 배터리 컨버터 효율을 의미합니다.
Conventional energy management system
1. Low power generation(신재생에너지 발생량 ↓ )
- 기존 에너지 관리 시스템에서는 부하 수요가 풍력 및 태양광 발전소에서 생성된 전력, 배터리 방전, 전력망 순서대로 부하 수요가 충족됩니다.
- 하지만 낮은 발전량에서 태양광 및 풍력 발전기로는 시간당 부하 수요를 충족할 수 없습니다.
- 결과적으로 생성된 전력에 따라 마이크로그리드는 두가지 경우로 작동합니다.



2. High power generation (신재생에너지 발생량 ↑ )
- 아래의 수식은 고전력 생성 시에는 재생 가능한 발전기가 부하 수요를 충족시킬 수 있으므로 배터리는 충전 모드로 운영된다는 것을 의미합니다.

- 아래의 수식은 배터리 상태(SOC)가 최소 SOC 이하일 때 배터리가 최대 한도까지 충전된다는 것을 의미합니다.


- 위의 수식은 재생 가능 발전기가 부하 수요를 충족할 수 있고, 배터리가 충전 모드로 작동하여 그리드에 기여한다는 것을 의미합니다.

- 위의 수식은 배터리는 최대 SOC에서 작동을 멈추고 초과 전력은 전력망으로 전송된다는 것을 의미합니다.
Proposed energy management system
1. Battery and grid power contributions
- 기존 EMS에서 정의된 운영 조건들과 유사한 조건들이 있지만, 이 논문에서는 높은 그리드 요금에서 배터리를 사용하고 낮은 그리드 요금에서는 그리드를 사용하는 것을 제안합니다.
- Low power generation

신재생에너지로 충전된 배터리 전력을 그리드에서 낮은 전력 부하를 충족시키기 위해서 배터리를 사용하는 상황을 의미합니다.
- High power generation

신재생에너지의 발전량이 높을 때 신재생 에너지로 배터리를 충전하고 있음을 수식을 통해서 보여줍니다.
2. Contribution Factor
- 논문에서는 배터리 저장소와 그리드의 사용을 최적화하기 위해서 기여도 요인 β를 사용하였습니다.
- 이를 통해서 에너지 비용을 줄이고 배터리 수명을 늘리려고 하였고 그리드에서 필요한 전력을 적절하게 조절하여 전체 에너지 시스템의 효율성과 경제성을 개선하였습니다.- 관련 수식은 아래의 수식과 같습니다.


3. Load shifting mechanism
- Load shifting mechanism은 피크 시간대에서 비피크 시간대로 전력 수요를 이동시키는 관리 기술입니다.
- 이동 가능한 부하에는 하루 중 어느 시간대에나 작동할 수 있는 장치들이 포함되고 이러한 장치들의 작동 시간을 그리드 요금이 낮은 시간대로 옮겨서 에너지 비용을 최소화합니다.
- 결과적으로는 Load shifting mechanism을 사용하여 총 일일 전력 사용량을 동일하게 유지합니다.
4. Load shifting mechanism이 필요한 이유
- 기존에는 이동 가능한 부하가 그리드 요금이 높은 시간대에 위치하였고 Load shifting mechanism를 이용하여 에너지 비용을 줄이기 위해서 그리드 요금을 낮은 시간대로 옮기는 것이 필요해졌습니다.

Load shifting mechanism의 순서는 다음과 같습니다.
1. 비피크 시간대와 피크 시간대의 시간 간격을 동일한 크기로 선택합니다.
2. 피크 시간대의 이동 가능한 부하를 비피크 시간대의 시간 간격으로 이동시킵니다.
Result and Discussion


Fig 9
- 위의 그래프의 경우 기여도 요인 중 constant는 비용을 최소화하는 것과는 상관이 없음을 보여줍니다.
- 논문의 저자가 지정한 변수인 기여도 변수 β가 상수, 선형, 비선형일때 시간대별 β를 그래프로 표현하였습니다.
결과적으로 기여도 변수 β가 선형일때 전력 사용 비용이 절감됨을 알 수 있습니다.
Fig 10
기존의 에너지 관리 시스템은 모든 시간대에 신재생 에너지를 사용하고 있지만 논문에서 제안된 에너지 관리 시스템의 경우에는 그리드 가격이 높은 시간대에만 신재생 에너지를 사용하고 있습니다.
이를 통해서 하루동안 배터리 전력기여도를 70% 감소시켜 배터리 수명을 개선하고 최종적으로 전력 사용 비용을 절감하고 있음을 보여줍니다.

위의 그래프들을 통해서 EMS를 사용하였을 때 피크타임에만 신재생에너지 배터리를 사용함으로써 전력 사용비용을 절감할 수 있음을 알 수 있습니다.




Fig 15
- 기존의 EMS는 하루동안 불규칙적으로 배터리를 사용하고 있지만 논문에서 제안된 EMS는 전력사용량이 높은 피크 시간대에 신재생 에너지를 사용함으로서 효율적인 배터리 사용이 가능함을 보여줍니다.
Table 4
- Load shifting mechanism과 EMS 관리 방식에 따른 차이를 비교하였을 때 어떤 방식이 효율적으로 배터리를 제어하고 비용 절감까지 하였는지를 보여줍니다. 그 결과 현 논문에서 제안된 방식과 Load shifting mechanism 방식을 사용하였을 때 가장 전력 사용 비용이 절감되었음을 알 수 있습니다.
Fig 16,Table 5
- Grid tariff limit = 전력망을 사용하여 전기를 소비하거나 그리드에 전기를 공급할 때 적용되는 요금 체계를 말합니다
위의 그래프와 표를 통해서 Grid tariff limit에 대한 결과의 만감도를 분석하여 Grid tariff limit이 {10,15} 일 때, 요금이 제일 적음을 보여주고 있습니다.
이는 기여도 요인이 높은 경우, 그리드 요금이 높을 때 신재생 에너지 기반의 배터리 사용량이 증가함을 알 수 있습니다.
Contribution

왼쪽의 그래프는 배터리 상태 변화와 Grid tariff limit의 관계를 보여주는 그래프입니다.
그래프를 통해서 Grid tariff limit의 범위에 따른 시간대별 배터리의 사용량을 보여줍니다. 이는 Grid tariff limit이 {10,15}일 때 5~16시까지만 배터리를 사용함으로서 피크타임때만 신재생에너지를 사용하고 있음을 보여줍니다.
결과적으로 위의 논문에서는 기존의 에너지 관리 시스템에서 Load shifting mechanism을 시도하여 전력사용량을 평준화하여 파크 시간대에 전력사용량을 줄이고 있습니다. 그리고 피크 시간대에만 신재생 에너지를 사용함으로서 전력 사용 비용을 절감하였습니다.
https://www.sciencedirect.com/science/article/pii/S0196890421012929